Modelul holografic confirmat. Universul, o gaura neagra
Observatii recente ale JWST provoaca originea Big Bang a Universului nostru, in sprijinul modelului holografic, in care Universul a fost creat de o gaura neagra incorporata intr-un univers mai mare.
Referitor la problema catastrofei in vid – discrepanta intre densitatea energiei in vid la scara cosmologica si la scara cuantica – si solutia oferita de abordarea holografica generalizata, aceasta solutie a catastrofei in vid a sugerat un scenariu foarte intrigant.
Acest scenariu atata ca Universul nostru indeplineste conditia unei gauri negre in momentul in care se calculeaza corect contributia fluctuatiilor de vid pe care le reprezinta masa intunecata si energia intunecata.
Aceasta predictie teoretica ar putea fi validata in prezent de observatiile actuale ale telescopului spatial James Webb (JWST).
Un videoclip recent, intitulat Teoria Big Bang a fost gersita – Traim intr-o gaura neagra! postat pe YouTube, il prezinta pe Michio Kaku explicand de ce observatiile recente ale JWST schimba ceea ce stim despre originea Universului nostru. Cea mai mare parte a astronomiei si astrofizicii noastre principale ar putea fi rescrisa!

Principala observatie provocatoare de la JWST este detectarea a cel putin 6 galaxii uriase, de pana la 10 ori mai mari decat Calea Lactee, care apar la intervale de timp in universul timpuriu (vechi de aproximativ jumatate de miliard de ani dupa Big Bang).
Formarea galaxiilor bazata pe modelul Big Bang necesita scari de timp mult mai mari pentru ca aceste galaxii sa se formeze, de mai multe miliarde de ani. Posibilitatea ca acestea sa nu fie galaxii, ci quasari este redusa, deoarece semnatura lor spectrala nu coincide.
Prin urmare, cu exceptia cazului in care aceste galaxii au aparut printr-o noua stare extravaganta de care nu suntem constienti, ele nu ar trebui sa fie acolo, iar faptul ca sunt ar putea fi un indiciu clar ca teoria Big Bang nu mai este valabila.
Teoria Big Bang provocata de modelul holografic
Ivo Labbe, de la Universitatea de Tehnologie Swinburne din Melbourne, a descoperit aceste 6 galaxii din imaginile camerei JWST in infrarosu care au fost lansate in iulie 2022.
Obiectele detectate au aratat o schimbare extrema spre rosu provenita din lumina provenita din expansiunea universului, ceea ce implica ca o astfel de lumina are o vechime de aproximativ 700 de milioane de ani.
Prin urmare, aceste galaxii s-au format foarte eficient si rapid in universul timpuriu, sfidand punctul de vedere comun conform caruia galaxiile incep de la dimensiuni foarte mici si se unesc pentru a forma galaxii mai mari in perioade mult mai lungi de timp.
In plus, aceste galaxii au o masa mult mai mare decat cea disponibila in acea perioada estimata de datele CMB si au trecut prin numeroase cicluri de formatiuni stelare. Toate cele trei aspecte contrazic modelele astronomice actuale.
Aceste galaxii gazduiesc gauri negre supermasive care s-au format dupa momentul creatiei, sugerand ca poate Universul nostru a fost creat de o gaura neagra gigantica care s-a prabusit intr-un cosmos mai mare, intr-o configuratie imbricata de gauri negre, una in cealalta.
Intr-un astfel de scenariu, universul nostru a evoluat dintr-o gaura neagra intr-un alt univers si se spune ca acest concept a fost introdus pentru prima data de fizicianul rus Igor Novikov in 1973, desi s-au gasit referinte de la alti autori, datand din 1972.
Posibilitatea ca universul sa fi fost o gaura neagra este extrem de relevanta in cadrul modelului holografic generalizat si al teoriei campului unificat. Gaurile negre nu sunt doar precursorii formarii galaxiilor, motiv pentru care ele preced galaxia gazda.
In plus, Universul insusi este o gaura neagra, iar calculele din 2019 ofera un cadru teoretic pentru a sustine o astfel de afirmatie.
Ce este de fapt o gaura neagra?
Una dintre cele mai remarcabile predictii facute de o teorie stiintifica este aceea a singularitatilor prezise de Relativitatea Generala (GR).
In contextul acestei teorii a lui Albert Einstein, o singularitate se refera la o regiune extrem de densa a spatiului.
O masa care este comprimata intr-un volum sferic devine o singularitate atunci cand atinge raza descoperita de fizicianul si astronomul german Karl Schwarzschild, care a propus cea mai simpla solutie a ecuatiilor de camp ale lui Einstein ale GR, aceea a unei gauri negre sferice, statice, neincarcate.
Desi mostenirea lui Schwarzschild depaseste cu mult aceasta realizare, cariera sa se ascunde in umbra propriei sale raze.
Raza lui Schwarzschild: prima solutie la ecuatia de camp a lui Einstein
In 1915, in acelasi an in care Einstein a introdus pentru prima data relativitatea generala, fizicianul si astronomul german Karl Schwarzschild a oferit prima solutie exacta pentru ecuatiile de camp ale relativitatii generale ale lui Einstein pentru o masa sferica, nerotativa si neincarcata.
Schwarzschild a realizat acest lucru in timp ce slujea in armata germana in timpul Primului Razboi Mondial. A murit in anul urmator, la 11 mai 1916, din cauza bolii autoimune pemfigus (care probabil era genetica) pe care a dezvoltat-o pe frontul rus.

Folosind ecuatiile campului pentru a calcula efectul gravitational al unui singur corp sferic, cum ar fi o stea, Schwarzschild a descoperit ca, daca masa nu este nici foarte mare, nici foarte concentrata, rezultatul va fi acelasi cu cel dat de teoria gravitatiei lui Newton.
Prin urmare, teoria lui Newton nu este incorecta; este o aproximare valabila a relativitatii generale in anumite conditii.
Schwarzschild a descris, de asemenea, un nou efect; cand masa este concentrata intr-un volum extrem de mic – o singularitate – gravitatia va deveni atat de puternica incat nimic din ceea ce este atras in regiunea inconjuratoare nu poate scapa vreodata, nici macar lumina.
Este ca si cum un obiect mic, dar foarte masiv, creeaza o depresiune atat de abrupta incat nimic nu poate scapa de ea.
Deoarece ar absorbi lumina si nu ar emite niciodata, aceasta distorsiune extrema spatiu-timp ar fi invizibila – de aceea a fost numita gaura neagra.
Rezultatul lui Schwarzschild descrie o sfera centrata pe o singularitate a carei raza se bazeaza pe densitatea masei inchise.
Se presupune ca evenimentele din interiorul sferei vor fi pentru totdeauna izolate de restul universului; din acest motiv, raza Schwarzschild este numita orizontul evenimentului, iar interiorul unei gauri negre se presupune a fi inaccesibil.
Gauri negre, galaxii, quasari
Gaurile negre au fost considerate pentru prima data a fi un aspect matematic al teoriei fara o contrapartida fizica reala, chiar daca cu mai bine de un secol mai devreme, in 1783, John Michell, unul dintre cei mai importanti oameni de stiinta din Marea Britanie, sugerase ca gravitatia de suprafata a unor stele ar putea fii atat de puternica incat nici macar lumina nu putea scapa din ele.
Folosind ideile contemporane despre gravitatie si lumina, Michell a calculat chiar ca o „stea intunecata” cu masa Soarelui ar avea doar cateva mile in diametru, potrivit calculelor moderne pentru dimensiunea unei gauri negre cu masa solara.
In 1963, Maarten Schmidt a descoperit ca un punct ciudat de lumina asemanator unei stele, cunoscut sub numele de quasar, numit 3c273, este unul dintre cele mai puternice obiecte din univers.
Descoperirea lui duce la ideea ca toti quasarii sunt alimentati de o gaura neagra supermasiva din centrul unei galaxii. Mai jos puteti vedea o imagine reala a unui quasar, luata de observatorul cu raze X Chandra.

De atunci, astrofizicienii au gasit mai multe obiecte cosmice care contin o astfel de concentratie densa de masa intr-un volum mic.
Printre aceste gauri negre se numara cea din centrul Galaxiei Caii Lactee (Sagetator A*) si anumite stele binare care emit raze X in timp ce se orbiteaza una pe alta.
Folosind Telescopul Event Horizon, am reusit sa construim prima imagine directa a unei gauri negre in centrul galaxiei M87, care se afla la aproximativ 55 de milioane de ani lumina distanta de Pamant.
Si aceasta imagine a fost actualizata cu noua fotografie detaliata a Telescopului Event Horizon, care dezvaluie linii spiralate ale fortelor magnetice misterioase, asa cum se arata mai jos.

In zilele noastre, gaurile negre sunt un obiect comun de studiu si au fost gasite in centrul majoritatii galaxiilor.
Dimensiunea lor este direct legata de dimensiunea galaxiei gazda, fapt care ar avea sens daca gaura neagra ar fi creatorul galaxiei.
Modelul holografic, masa holografica si masa lui Schwarzschild
Principiul holografic, asa cum a fost dezvoltat de Bekenstein si t’Hooft, considera informatiile continute de suprafata unei gauri negre luate ca un sistem sferic, dar unde unitatea de prelucrare este un patrat de dimensiunea Planck I2.
Explorand in continuare acest principiu holografic, impreuna cu entropia maxima a unei gauri negre, fizicianul Nassim Haramein propune o abordare holografica generalizata atat in ceea ce priveste entropiile de suprafata cat si de volum ale unui sistem sferic, folosind o sfera ca aproximare de ordinul intai pentru sistemul studiat.
Rezultatele pe care le-a obtinut au dovedit ca aceasta geometrie este o presupunere foarte buna, asa cum voi descrie in continuare.
Modelul holografic generalizat al lui Haramein se bazeaza pe un raport holografic fundamental Φ: un calcul in stare de echilibru reprezentand o rata de schimb de energie de echilibru, ca si constanta cinetica intr-o reactie chimica, doar ca in abordarea lui Haramein reprezinta potentialul de transfer de energie sau de informatii intre suprafata si volum.
Acest raport holografic fundamental Φ a fost determinat si pentru obiectele cosmologice si pentru particulele cuantice si, atunci cand este adus la unitati de masa, tine cont de masa obiectului considerata ca fiind sferica ca o prima aproximare.
Pentru a tine seama de continutul de energie din sistemul studiat, Haramein defineste o unitate de volum sferica cu diametrul lungimii Planck si masa Planck, numita Unitate Sferica Planck (USP), cu densitatea de energie Planck de 1093 g/cm3.
Aceste USP reprezinta densitatea energiei in vid la scara Plank: densitatea energiei fluctuatiilor in vid.
Prin voxelarea interiorului obiectului cu aceste USP si pixelarea suprafetei cu discul ecuatorial al USP (care reprezinta si un pic de informatie), Haramein defineste un continut de energie de volum (sau informatie-entropie) si un continut de energie de suprafata.
Ambele cantitati sunt nedimensionale, iar raportul dintre continutul de informatii de suprafata si continutul de volum devine raportul holografic fundamental Φ, care este practic un raport al razelor.
Dupa cum arata figura de mai jos, aceasta entropie suprafata-volum a unui sistem sferic da raportul holografic ɸ obtinut prin placarea suprafetei si umplerea volumului unui astfel de sistem sferic cu unitatile Sferice Planck – masa Planck intr-un volum sferic Planck cu raza Planck (lungimea Planck /2) – care sunt unitati de densitate de energie la scara Planck.

Cand aceasta relatie intre razele Φ este calculata pentru un obiect cuantic, cum ar fi protonul, obtinem masa protonului – cu precizie experimentala – prin inmultirea raportului fundamental Φ cu masa Planck.
In mod echivalent, cunoscand masa protonului, se poate calcula raza de sarcina a acestuia. Este extrem de relevant faptul ca acest calcul al lui Haramein a prezis cea mai precisa raza de incarcare a protonului in 2012, chiar inainte ca aceasta sa fi fost masurata cu precizie in 2013.
Mai mult, cand acest raport holografic a fost calculat ulterior pentru electron si apoi inmultit cu masa Planck, Haramein a obtinut masa electronului, cu precizie experimentala.
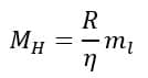
Cum se poate calcula masa unei gauri negre cu modelul holografic
Cu inversul acestui raport holografic (adica R/η) aplicat unei gauri negre, masa gaurii negre poate fi calculata prin ecuatia:

unde ml este masa Planck, iar indicele H inseamna ca aceasta masa a fost obtinuta prin solutia holografica. Prin urmare, ne vom referi la aceasta masa ca masa holografica.
Modelul holografic generalizat ofera o ecuatie pentru masa unei gauri negre in termeni de raport geometric volum-suprafata (1/𝜙 = R/η), pentru care sunt necesare numai masa Planck ml , raza Planck rl si raza gaurii negre.
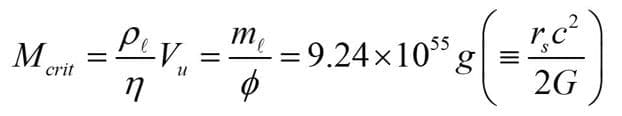
Foarte important, MH = (1/𝜙)ml da aceeasi valoare numerica ca si masa MS din ecuatia pentru solutia razei lui Schwarzschild la ecuatiile de camp ale lui Einstein pentru o gaura neagra nerotativa si neincarcata, care este MS = rsc2/(2G).
Echivalenta MH = MS are implicatii remarcabile. Inseamna ca spatiu-timpul este cuantificat cu structura granulara foarte mica a scalei Planck (USP).
Daca masa holografica MH este echivalenta cu masa lui Schwarzschild MS , trebuie remarcat ca atunci cand este aplicata universului, echivalenta dintre densitatea critica ρcrit si entropia de suprafata a universului da masa critica a universului Mcrit , care este o solutie holografica pentru masa (adica este o masa holografica MH) si, prin urmare, respecta solutia Schwarzschild pentru un univers-gaura neagra (ecuatia din partea dreapta de mai jos) a carui raza este raza Hubble rHo ( rs = rU = rHo ), asa cum se vede mai jos:

unde ρl este densitatea Planck, iar η, 𝜙 si Vu corespund Universului. Raza Schwarzschild este rs, c este viteza luminii si G este constanta gravitationala. Prin urmare, Mcrit este si masa lui Schwarzschild MS.
Cu alte cuvinte, acest lucru implica faptul ca Universul insusi se supune conditiilor unei gauri negre.
Ideea ca universul observabil ar putea fi interiorul unei gauri negre a fost propusa initial, cum am mai mentionat si anterior, in 1972 de Pathria si Good. Fizicianul Nikodem Poplawski a reiterat teoria conform careia universul nostru ar putea fi intr-o gaura neagra care exista intr-un „univers parinte”.
Contributiile de masa intunecata si energie intunecata in modelul holografic
In acest moment, ne putem intreba daca calculul este atat de simplu, iar numarul Eddington (care estimeaza numarul de protoni din univers) inmultit cu masa protonului ofera o estimare a masei universului. de acelasi ordin de marime de 1055 g, de ce universul gaurii negre nu a fost recunoscut pana acum de catre teoriile mainstream?
Oricat de ciudat ar parea, la inceput majoritatea fizicienilor au luat in considerare doar masa barionica a universului in solutia Schwarzschild.
Adica, contributiile de masa intunecata si energie intunecata, care sunt incorporate in mod natural in solutia holografica ca si contributii de masa-energie in vid, sunt neglijate si, prin urmare , nu au obtinut raza Schwarzschild corecta pentru un univers-gaura neagra.
Si cand sunt luate in considerare, estimarile lor sunt apropiate, dar nu indeplinesc exact conditia Schwarzschild, deoarece sunt obtinute fenomenologic din observatii astronomice.
Intre timp, solutia holografica tine cont de contributiile de masa intunecata si de energie intunecata la ecuatiile de camp ale lui Einstein din calculele primului principiu, fara parametri de ajustare.
Cand masa critica a universului este gasita prin solutia holografica, vedem ca aceasta ia in considerare valorile corecte ale tuturor contributiilor de masa-energie, deoarece raza universului coincide exact (pana la precizia limitata data de constanta gravitationala G) cu raza Schwarzschild.
O mai buna acuratete a calculului se bazeaza pe faptul ca se foloseste USP sau unitatea cuantificata de densitate energetica a structurii de vid, tinand cont de densitatea energiei fluctuatiilor de vid, unitatile Planck care sunt determinate cu un nivel ridicat de precizie, aceste unitati fiind incorporate in mod natural in solutia Schwarzschild.
Prin urmare, nu avem nevoie de relativitatea generala pentru a obtine raza Schwarzschild a unei gauri negre, iar gravitatia cuantica este deja incorporata in aceste unitati USP.
Sistemele care se supun conditiei Schwarzschild vor fi gasite ca nucleu organizational pentru materia organizata, asa cum este clar delimitat in legea de scalare pentru toata materia organizata:

Astfel, solutia holografica generalizata descrisa in acest articol ofera o explicatie fizica care este inerenta ecuatiilor relativitatii generale, deci nu sunt necesari termeni de corectie.
Renormalizarea inca are loc, dar limita pentru renormalizare este unitatea Planck (USP) care se bazeaza pe constantele fundamentale ale naturii (cel putin in universul nostru).
Modelul holografic si teoria unificata a campului
De peste 25 de ani, fizicianul Nassim Haramein a descris gaurile negre primordiale ca nuclee organizationale ale sistemelor fizice la scara, de la micro la macrocosmos.
Rotatia lor produce o regiune foarte coerenta de spatiu-timp cuantificat care are un parametru de ordonare specific, motiv pentru care functioneaza ca nucleu organizational pentru materia organizata.
Acest lucru se aplica materiei organizate pe scara, de la particule la planete, stele, galaxii si universul insusi. In verificarea acestui postulat, in ultimele decenii a devenit larg recunoscut ca gaurile negre formeaza nucleul organizational pentru toate galaxiile obisnuite.
Cea mai importanta caracteristica pentru cresterea gaurii negre si productia de energie este dinamica feedback-feedforward, care permite organizarea automata; este fluxul de feedback hidrodinamic al mediului subiacent, adica campul polarizabil Planck al cuantelor de informatii spatio-temporale, care nu numai ca organizeaza materia pe scara, ci ofera si un mecanism pentru o retea spatiu-timp (denumita retea spatiu-memorie in contextul nostru).
Acest lucru poate fi evidentiat cu cele mai recente observatii ale filamentelor moleculare termice aliniate radial si orizontal in planul galactic si emanand din gaura neagra supermasiva centrala — Sagetator A* — dezvaluind structura de ordonare hidrodinamica subiacenta a retelei memoriei spatiale si geometria relatiei dintre arhitectura memoriei spatiale si magnetohidrodinamica gaurii negre de la Nucleul Galactic.
Mecanismul este direct din perspectiva solutiei holografice, avand in vedere ca protonul respecta conditia Schwarzschild si atunci cand se ia in considerare energia fortei puternice αS (de unde provine masa protonului in modelul standard).
Aceasta inseamna ca suprafata protonului ar avea η = 1040 terminatii ale gaurii de vierme, astfel incat informatiile despre volum nu sunt doar rezultatul limitei de informatie/entropie a suprafetei mediului local, ci pot fi si non- locale, datorita acestor interactiuni ale gaurilor de vierme precum cele propuse de o conjectura cunoscuta sub numele de conjectura ER=EPR (propusa de Maldacena si Susskind), in care interioarele gaurilor negre sunt conectate intre ele prin micro gauri de vierme.

O astfel de retea de protoni interconectati ar putea permite transferul si fluxul de informatii la scara, care actualizeaza aparent instantaneu informatiile din toti protonii.
Acest lucru ar implica un mecanism cvasi-instantaneu de feedback-feedforward la microscala si chiar mai jos, care ar putea explica crearea si organizarea intregii materii din univers in stadii foarte timpurii, rezolvand in acelasi timp paradoxul informatiei, deoarece informatiile dintr-o gaura neagra exista, nu se evapora, protonii sunt interconectati si actioneaza ca niste hub-uri in care informatiile sunt stocate/partajate.
Totul este interconectat si complex
Rezultatul general este ca informatiile nu se pierd si ca singularitatile din centrul gaurilor negre nu sunt singularitati matematice reale, ele au o taietura naturala.
Interesant este ca un articol recent din Quanta Magazine intitulat “In New Paradox, Black Holes Appear to Evade Heat Death”, se refera la un mecanism analog propus de Leonard Susskind pentru a aborda structura interconectata a informatiilor de volum a gaurilor negre, prin complexitatea cuantica.
Cercetarea a demonstrat ca o gaura neagra, care este un sistem puternic gravitator, este echivalenta matematic cu un sistem cuantic negravitational puternic corelat, in care gaura neagra a fost tratata echivalent cu o stare termica a campurilor cuantice; o plasma fierbinte alcatuita din particule nucleare.
Plasma sufera milioane de interactiuni, creand o stare cuantica din ce in ce mai complexa, deoarece spatiul posibilitatilor este urias, iar acest proces a fost dovedit ca aproximeaza o distributie cu adevarat aleatorie. Deoarece aleatoritatea este complexitatea maxima, apropierea de aleatoriu duce la ideea ca sistemul devine din ce in ce mai complex si aproape cu aceeasi rata cu care interiorul gaurii negre creste.
Prin urmare, daca prin dualitatea holografica AdS/CFT, gaurile negre ar putea fi echivalente cu o plasma fierbinte, volumul gaurii negre este echivalent matematic cu complexitatea circuitului plasmei (interactiunea particulelor din plasma) si deoarece circuitul complexitatea continua sa creasca, la fel si volumul gaurii negre.
Trucul este ca, deoarece o gaura neagra este guvernata de legile gravitatiei, daca poti simula acele legi pe un computer cu suficienta precizie, obtii cat mai multe informatii fara a fi nevoie sa intri in interiorul gaurii negre pentru a o accesa.
Echipa de cercetare a descoperit ca volumul interior al gaurii negre este eminamente calculabil si remarcam ca acelasi lucru se intampla si cu abordarea holografica generalizata, unde starea interna a unei gauri negre este usor determinata de entropia de volum.
Intrucat intr-un sistem cuantic, complexitatea este numarul de operatii elementare sau necesare pentru a replica o anumita stare, se presupune ca si dupa ce plasma atinge o conditie de echilibru termic, starea sa cuantica nu inceteaza sa evolueze, devenind si mai complexa si asta ar explica caracteristica in continua crestere a gaurilor negre.
Problema este ca, chiar si in cadrul acestei noi abordari, se impune o a doua lege a termodinamicii in care intr-un timp mult mai lung, o gaura neagra ar ajunge in cele din urma la o stare de echilibru a complexitatii in care sistemul continua sa se schimbe, dar nu se mai poate spune ca evolueaza.
Merita sa ne intrebam care este relatia dintre un univers-gaura neagra, a carui singularitate in centrul sau este o singularitate spatiala, si Big Bang, care este o singularitate in timp. Poate ca Big Bang-ul este doar singularitatea din centrul universului nostru (univers in interiorul unei gauri negre).
Urmariti acest site – curiozitati stiinta – pentru a afla si alte lucruri noi si interesante despre universul in care traim!
Sursa: resonancescience.org, nature.com, medium.com, scietdynamics.com.
Foto: Chandra X-Ray Image of Quasar PKS 1127-145, Event Horizon Telescope (EHT), Dr. Amira Val Baker, resonancescience.org.
Acest articol despre modelul holografic a fost sustinut de cititori ca tine.
Misiunea noastra este sa oferim publicului stiri precise si captivante despre stiinta. Aceasta misiune nu a fost niciodata mai importanta decat este astazi.
Nu putem face, insa, acest lucru fara tine.
Sprijinul tau ne permite sa pastram continutul acestui blog gratuit si accesibil. Investeste in jurnalismul stiintific donand chiar astazi.


